Patients with cancer are usually staged based on the presence of detectable regional and/or distant disease. However, staging is inexact and cM0 patients may have microscopic metastases (cM0pM1) that later cause relapse and death. Since the clinical tools used to stage patients are fairly similar for different tumors, the ratio of the rates of metachronous to synchronous metastases should be similar for different tumors (hypothesis #1). Improvements in diagnostic tools should have caused the ratio of metachronous-to-synchronous metastases to have decreased over time (hypothesis #2). Finally, the fraction of patients with either metachronous or synchronous metastases should have declined over time due to increased screening and earlier diagnoses (hypothesis #3). To test these hypotheses, Surveillance, Epidemiology, and End Results (SEER) data from 1973-1998 were analyzed for 19 solid tumors. A linear relationship was seen between the rates of metachronous and synchronous metastases, with modestly strong correlation coefficients, consistent with hypothesis #1. Over time, changes in staging methods have not significantly altered the ratio of metachronous/synchronous metastases, contrary to hypothesis #2. Also over time, a decrease in the number of patients with metastases was found, consistent with hypothesis #3. Therefore, the rate of anticipated metachronous metastases can be estimated from the rate of clinically evident metastases at presentation. Changes in screening/staging of disease over time may have reduced the overall fraction of patients with metastases.
Patients with cancer are usually staged based on the presence of detectable regional and/or distant disease. However, staging is inexact and cM0 patients may have microscopic metastases (cM0pM1) that later cause relapse and death. Since the clinical tools used to stage patients are fairly similar for different tumors, the ratio of the rates of metachronous to synchronous metastases should be similar for different tumors (hypothesis #1). Improvements in diagnostic tools should have caused the ratio of metachronous-to-synchronous metastases to have decreased over time (hypothesis #2). Finally, the fraction of patients with either metachronous or synchronous metastases should have declined over time due to increased screening and earlier diagnoses (hypothesis #3). To test these hypotheses, Surveillance, Epidemiology, and End Results (SEER) data from 1973-1998 were analyzed for 19 solid tumors. A linear relationship was seen between the rates of metachronous and synchronous metastases, with modestly strong correlation coefficients, consistent with hypothesis #1. Over time, changes in staging methods have not significantly altered the ratio of metachronous/synchronous metastases, contrary to hypothesis #2. Also over time, a decrease in the number of patients with metastases was found, consistent with hypothesis #3. Therefore, the rate of anticipated metachronous metastases can be estimated from the rate of clinically evident metastases at presentation. Changes in screening/staging of disease over time may have reduced the overall fraction of patients with metastases.
Cancer often spreads in a sequential fashion-from the primary (local) site, to regional sites (eg, lymph nodes), and then distantly. Patients with cancer are typically staged based on the presence or absence of radiographically/clinically detectable regional and/or distant disease. It is accepted that current staging evaluations, particularly imaging studies, are inexact. Many patients who are clinically without evidence of metastases (cM0) at the time of diagnosis actually harbor subclinical microscopic metastatic (pM1) disease that can later manifest as "recurrence" and lead to death. Therefore, clinicians must also rely on clinicopathologic features of primary cancers to help determine if systemic therapies are warranted (ie, if they are at sufficient risk for harboring micrometastases to potentially benefit from systemic therapies).
Three Staging Groups
Patients can be logically separated into three groups on a spectrum based on clinical stage as well as "real" or "pathologic" stage. For any given cancer site, patients can generally be sorted into one of three categories at diagnosis (Figure 1):

(1) Clinically without metastases and with no subclinical metastases (cM0pM0)-With effective local therapies, these patients can be cured of their disease. Adjuvant systemic therapies are unnecessary. With current staging methods, it is impossible to truly place a given patient in this group; however, by using clinicopathologic features at presentation (such as low disease burden and low histologic grade), clinicians often functionally place patients in this category and do not recommend adjuvant systemic therapy. An example of such a patient is a man with a T1c prostate cancer, Gleason score of 3+3, and prostate-specific antigen (PSA) level of 5.0 ng/mL. Since the risk of having (clinically relevant) metastatic disease is low in this patient, most clinicians would not recommend adjuvant hormone deprivation following primary local therapy with radical prostatectomy or radiotherapy.
(2) Clinically without metastases, but subclinical metastases are present (cM0pM1)-In this situation, no metastases are detected at initial imaging or staging, but patients later "develop" distant metastases. The metastases are initially subclinical; however, their size increases with time such that they are detected clinically through the course of the disease. Disease "recurrence" is diagnosed at that time. These metastases can be considered "metachronous." When clinicians are concerned by clinicopathologic features of a patient's disease (eg, T3b prostate cancer with Gleason score of 4+4, but with negative bone scan and negative computed tomography [CT] imaging), they may functionally place a patient in this group and recommend systemic therapies (eg, androgen deprivation in this example).
(3) Clinically evident metastases (cM1pM1)
In this situation metastases are clinically appreciated at the time of initial staging procedures. These metastases can be considered "synchronous." A small fraction of these patients may actually be without metastases (eg, false-positive scans for metastases-a state of being cM1pM0). As this fraction is typically small, it is excluded from the discussion.
A more detailed segregation of patients within these three groups is illustrated in Figure 2. Consider a hypothetical cohort of patients at the moment their primary tumors come into existence. At that time, 100% of patients are cM0pM0. Over an interval of time, a portion of these patients develop a small burden of metastatic disease. Over successive time intervals, the fraction of patients who are cM0pM0 declines as the fraction of patients with metastatic disease increases. Further, the burden of metastatic disease within this group of pM1 patients also increases over time. At late time intervals, the number of cM0 patients approaches zero. In Figure 2, 10% of patients are assumed to develop metastases during each of the successive time intervals, and the metastatic burden among the pM1 patients is assumed to increase by 1 log. This assumption is made for convenience, and the methods and results described in this analysis are not dependent on the hypothesized details of tumor growth kinetics.

Within the framework illustrated in Figure 2, patients can be segregated into cM0pM1 and cM1 based on the sensitivity of the clinical/radiologic tools available to detect metastatic disease. Larger metastatic burdens are generally more readily clinically detected (cM1) than are smaller burdens of metastatic disease that are often clinically undetectable (cM0pM1). For diseases where the transition from pM0 to pM1 appears to be rapid (eg, due to an aggressive biologic behavior), a larger fraction of patients will be either cM0pM1 or cM1 at presentation. Conversely, for diseases where metastases are less common, smaller fractions of patients will be either cM0pM1 or cM1 at presentation.
Thus, if one compares across different diseases, there should be a relationship between the rates of patients presenting as cM0pM1 and those presenting as cM1. Alternatively stated, for diseases where a relatively large fraction of patients present with metastatic disease, a relatively large fraction of cM0 patients probably harbor subclinical microscopic metastatic disease (cM0pM1).
Three Hypotheses
In this report, we propose the following hypotheses:
(1) Since the clinical tools used to stage patients are fairly similar for different tumors, the ratio of the rates of synchronous to metachronous metastases should be similar for different tumors.
Most patients are staged with familiar imaging tools such as CT, magnetic resonance imaging (MRI), and bone scans. Thus the "ability" to detect metastases should be the same for most primary cancers. As a result, the ratio of synchronous to metachronous metastases across various solid tumors should be approximately constant.
(2) Improvements in diagnostic tools should have caused the ratio of synchronous to metachronous metastases to have increased over time.
Staging studies have become more sensitive over time (eg, the introduction of CT in the 1970s, MRI in the 1980s, and positron-emission tomography [PET] in the 1990s), which would be expected to lead to more frequent identification of synchronous metastases. In other words, with more modern imaging techniques, clinicians should be missing fewer metastases during staging, and thus, the ratio of synchronous to metachronous metastases should have increased (Figure 1).
(3) The fraction of patients with either metachronous or synchronous metastases should have declined over time due to increased screening and earlier diagnoses.
Screening for cancer (eg, mammography, PSA checks) may alter the fraction of patients who have metastases, as screening tends to identify patients with disease that is in earlier stages. Thus, the overall incidence of metastatic disease should have decreased (Figure 1). Improvements in systemic chemotherapy also may have contributed to a decrease in apparent pM1 rates by curing patients who initially harbored micrometastases (see below).
To test these hypotheses, we analyzed data from the Surveillance, Epidemiology, and End Results (SEER) database of the National Cancer Institute (NCI) from 1973 through 1998.
Analytic Strategy
SEER Data Extracted
Nineteen solid tumors were selected for the study (Table 1). Data were obtained from the SEER database.[1] The SEER program has been collecting clinical, pathologic, and demographic information on cancer patients since 1973, and its database covers about 10% of the US population. The period studied in this paper covered 1973 to 1998 (the final year in which 5-year data were available at the time of this analysis). Tumor types for which the staging methods used were unique (eg, laparotomy for lymphoma or ovarian cancer) and for which the distinction between extensive locoregional disease and systemic disease is indistinct (eg, abdominal seeding with ovarian cancer) were excluded.

The data were extracted using the SEER*Stat 6.1.4 computer program provided by SEER. The "rate" application of the program was used to calculate crude rates, and the "survival" application of the program was used to calculate survival data. The SEER database presents cancer staging in several ways. For this analysis "summary staging" was used. Summary staging is the most basic way of categorizing how far a cancer has spread from its point of origin. There are five main categories in summary stage: in situ, localized only, regional, distant site(s), and unknown/unstaged.[2] For our analysis, local and regional disease were considered to be cM0 and distant disease was considered to be cM1. In situ and unstaged cancers were not included in the analysis.
For patients diagnosed in the years of 1973 and 1998, the following data were extracted for each disease site:
(1) The rate of synchronous metastases (cM1pM1): This is equal to the crude number of patients with known distant disease (cM1) divided by all patients, ie, cM1pM1/(all patients).
(2) The rate of metachronous metastases (cM0pM1): This was estimated from the 5-year mortality for cM0 patients, and is equal to 1 minus the survival rate for cM0 patients at 5 years.
(3) The rate of having no metastatic disease (cM0pM0): This is equal to 100% minus the rates of cM0pM1 minus the rates of cM1pM1.
The SEER database does not directly provide the rate of cM0pM1. However, the registry does provide the fraction of cM0 patients who subsequently die from their disease within 5 years of diagnosis. Since metastatic cancer is the primary cause of mortality for many solid tumors, this rate can be used as a reasonable surrogate for cM0pM1. The situations where mortality often occurs due to locoregional disease will be discussed as well. For the remainder of the discussion, we will use death rates as a surrogate for metastatic rates in cM0 patients.
Comparisons Made
In order to test hypothesis #1, graphs comparing the rates of synchronous metastases (cM1) to the rate of metachronous metastases (cM0pM1) were generated, and data were fit to a linear model. The degree of fit to the linear model was expressed as the correlation coefficient (r).
In order to test hypothesis #2, the data from 1973 and 1998 data were compared. If the hypothesis were true, the slope of the line (representing the ratio of metachronous to synchronous presentations) would be lower in the 1998 dataset relative to 1973.
In order to test hypothesis #3, the sum of cM0pM1 and cM1 were compared over the 1973 and 1998 datasets. If this hypothesis were true, the sum would have decreased over time.
The construct of the model becomes mathematically irrational in situations where the cM1 rate is extremely high. Some cancers, such as pancreatic cancer, have exceedingly high rates of initially presenting with metastases (ie, high rates of cM1pM1 disease). Such diseases could not reasonably be expected to fit with hypothesis #1. There cannot be a constant ratio of cM0pM1 to cM1 as the cM1 rate approaches 1 (since there cannot be more than 100% of patients in total). Within the construct for Figure 2, this situation would manifest as most of the patients having already passed through the early disease phases, with essentially no patients remaining with pM0 or low-volume pM1 disease. However, the data for these tumors can be analyzed by "renormalization" of the cM0pM1 rates to the overall rate of cM0; ie, by considering the fraction cM0pM1 divided by cM0 rather than the fraction of all patients who are cM0pM1 in the discussion above. Therefore, hypothesis #1 was repeated by generating a second set of graphs to compare the cM1 rate to the fraction of cM0 patients who harbor metastases (cM0pM1 over cM0).
Relationships Revealed
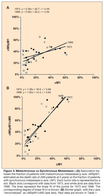
The tumors studied in this report are listed in Table 1. Figure 3 illustrates the relationship between the rates of cM0pM1 vs cM1 for both 1973 and 1998. The graphs are plotted with and without the renormalization process described above.

For each graph, the linear fit to the data, along with the associated equation and correlation coefficient are shown. The relatively good linear fit with modestly strong correlation coefficients is consistent with hypothesis #1.
The slopes of the lines from 1973 and 1998 are similar (1.4 and 1.5, respectively)-suggesting that changes in staging methods have not significantly altered the ratio of metachronous/synchronous metastases-and are inconsistent with hypothesis #2.
The data appear to be consistent with hypothesis #3. Between 1973 and 1998, the data points have generally shifted downward and to the left, suggesting a decrease in the number of patients with metastases. In 16 of the 19 tumor sites studied, the rate of presentation with synchronous metastases is decreased; in 14 of the 19 tumors, the rate of presentation with metachronous metastases is decreased.
Underlying the Data
To the best of our knowledge, this is the first study to quantitatively assess the association between the rates of synchronous metastases (cM1) and metachronous metastases (cM0pM1). The data shown in Figure 3 demonstrate that these rates are indeed associated with each other. This seems self-evident; cancers that are aggressive at presentation (ie, producing high rates of cM1) tend to have a more aggressive natural history (ie, higher rates of cM0 patients "becoming" pM1) than do less aggressive cancers. The fact that the data fit somewhat well to a straight line is interesting. This is consistent with hypothesis #1 and may reflect the fairly uniform methods of staging that are used across different tumor types.
The graphs may offer some assistance in the assessment of systemic therapy for rare tumors. For many diseases, the utility of adjuvant systemic therapy is unknown. In these settings, one may be able to estimate the anticipated death rate (or subsequent metastatic relapse rate) based on the fraction of patients who present with metastases. As an example, one can consider osteosarcoma of the bone, or soft-tissue sarcoma. For both, long-standing controversies surrounded the utility of systemic therapy in the 1980s and 1990s, respectively. It was not until relatively large randomized trials were conducted, including some meta-analyses, that systemic chemotherapy was accepted for these tumors. During the time of controversy, one could have assessed whether the rates of death among cM0 patients (ie, cM0pM1) who received chemotherapy were lower than anticipated based on the rate of cM1. This may have provided a rough assessment of chemotherapy's utility.[3-5]
Within Figure 3, the locations of the data points associated with specific diseases are consistent with our broad understanding of their clinical behavior. Diseases with effective systemic therapies (eg, chemotherapy and/or hormones for breast cancer) tend to lie "below the line." That is, a smaller fraction of the cM0 patients later die of their disease than would be anticipated based on the rate of cM1 at presentation. Presumably this reflects the ability of these systemic therapies to sterilize subclinical metastatic disease. Similarly, diseases where death often occurs due to locoregional disease (eg, cancer of the head/neck region), tend to be located above the line (discussed further below).
The observation that the data are not consistent with hypothesis #2 may be related to several issues. First, improvements in cancer prevention and increased use of screening programs would be expected to decrease the number of patients presenting with cM1 disease (for most cancers). Second, improvements in imaging techniques between 1973 and 1998 (eg, CT, MRI, and PET technology), may have indeed increased clinicians' ability to detect distant disease, thus likely increasing the fraction of patients with metastases that are clinically apparent (ie, cM1pM1). Third, improvements in systemic therapy would be expected to lower the apparent metachronous rate by curing patients with micrometastatic disease (ie, lower the cM0pM1 rate). Since the slopes of the lines for 1973 and 1998 datasets are similar, it appears that the effects of these three forces have largely negated one another.
Ultimately, this review of the SEER database reveals an evolution in the prevention, detection, and treatment of cancer between the 1970s and 1990s. It is widely assumed that significant changes occurred over this time period, including an increased public awareness of cancer prevention, improvements in diagnostic imaging techniques, and improvements in cancer treatments such as systemic chemotherapy. Hypothesis #3 appears to be correct: From 1973 to 1998, the proportion of patients who present with either synchronous or metachronous metastases appears to have declined. This trend may be due to better cancer screening and/or systemic therapies. Nevertheless, this reduction in the overall metastatic rate may be an artifact of lead-time bias. That is, the increased use of screening has detected tumors earlier in their natural history, and the ultimate metastatic rate may be unchanged with longer follow-up.[5,6]
Study Limitations
Our analysis has several shortcomings. The metric used for the y axis of Figure 3, the rate of death among patients presenting with nonmetastatic cancer, is not the same as the rate of developing metastases. For most tumors, however, this is a reasonable approximation, as death from cancer is largely due to systemic recurrence. There are several notable exceptions, where mortality is often due to uncontrolled locoregional disease (eg, head and neck tumors). For these, the death rate among patients presenting without metastases (ie, the y axis on our Figure 3 graphs) should be higher than that predicted based on the rate of metastases at presentation, since death can occur from recurrent distant and locoregional disease. Indeed, several of these tumors are represented by data points that lie above the line in the figure.
Second, the assumption that the type of staging tests used for different tumors was similar, may not be valid. CT, MRI, and PET typically have been initially introduced for specific disease types, before being widely applied to the broader patient population. There is no practical manner to assess the degree of staging that was done for each tumor type during the time periods studied.
Third, all tumor types were not included in the analysis. For example, we explicitly excluded cancers for which the staging methods used were unique and for which the distinction between extensive locoregional disease and systemic disease is indistinct.
Fourth, comparing the 5- and 10-year survival rates in patients with different tumor types does not consider differences in natural history for the different diseases. A better metric might have been to assess the "ultimate" death rate. This information, however. is not readily available. Further, at very long follow-up times, it may be difficult to differentiate between death from cancer vs other comorbid diseases. This issue may, in part, explain the location of the prostate data point in Figure 3. Prostate cancer often has a relatively protracted natural history, and "late" deaths from metastatic disease are fairly common. Therefore, as expected, the data point representing prostate cancer lies below the lines in Figure 3. The use of a well defined survival rate, as reported in the SEER database, provided an objective quantitative metric for the analysis.
Summary
In summary, the current analysis of SEER data demonstrates a quantitative relationship between the fraction of patients who present with metastatic disease, and the rate of metachronous metastases (or death) in the remaining patients. In general, for a given disease, the rate of metachronous metastases (or death) among the patients who presented without metastases is approximately 1.5 times the fraction of all patients who presented with synchronous metastases. This relationship appears to have persisted over time. The overall fraction of patients who either present with metastases or later develop metastases appears to have declined slightly in recent years.
1. Surveillance Research Program: National Cancer Institute SEER*Stat software (www.seer.cancer.gov/seerstat) version 6.1.4.
2. Young JL Jr, Roffers SD, Ries LAG, et al (eds): SEER Summary Staging Manual-2000: Codes and Coding Instructions, National Cancer Institute, NIH pub. no. 01-4969; Bethesda, Md; 2001.
3. Adjuvant chemotherapy for localised resectable soft-tissue sarcoma of adults: meta-analysis of individual data. Sarcoma Meta-analysis Collaboration. Lancet 350:1647-1654, 1997.
4. Provisor AJ, Ettinger LJ, Nachman JB, et al: Treatment of nonmetastatic osteosarcoma of the extremity with preoperative and postoperative chemotherapy: A report from the Children's Cancer Group. J Clin Oncol 15:76-84, 1997.
5. Bacci G, Picci P, Ferrari S, et al: Primary chemotherapy and delayed surgery for nonmetastatic osteosarcoma of the extremities. Results in 164 patients preoperatively treated with high doses of methotrexate followed by cisplatin and doxorubicin. Cancer 72:3227-3238, 1993.
6. Welch HG, Schwartz LM, Woloshin S: Do increased 5-year survival rates in prostate cancer indicate better outcomes? JAMA 284:2053-2055, 2000.