Gemcitabine (Gemzar) and paclitaxel exhibit good activity and goodsafety profiles when used alone and together in the treatment of advancedbreast cancer. In a phase II trial, 45 patients with metastaticbreast cancer received gemcitabine at 1,200 mg/m2 on days 1 and 8 andpaclitaxel at 175 mg/m2 on day 1 every 21 days. Twenty-seven patients(60.0%) had prior adjuvant therapy. Objective response was observedin 30 patients (objective response rate 66.7%, 95% confidence interval[CI] = 52%–71%), including complete response in 10 (22.2%) and partialresponse in 20 (44.4%). Median duration of response was 18 months(95% CI = 11–26.7 months), median time to tumor progression for theentire population was 11 months (95% CI = 7.1–18.7 months), medianoverall survival was 19 months (95% CI = 17.3–21.7 months), and the1-year survival rate was 69%. Treatment was well tolerated, with grade3/4 toxicities being infrequent. Grade 3/4 leukopenia, neutropenia, andthrombocytopenia were each observed in six patients (13.3%). No patientwas discontinued from the study due to hematologic ornonhematologic toxicity. Thus, the gemcitabine/paclitaxel combinationshows promising activity and tolerability when used as first-line treatmentin advanced disease. The combination recently has been shownto be superior to paclitaxel alone as first-line treatment in anthracyclinepretreatedadvanced disease according to interim results of a phase IIItrial and it should be further evaluated in comparative trials in breastcancer.
ABSTRACT: Gemcitabine (Gemzar) and paclitaxel exhibit good activity and goodsafety profiles when used alone and together in the treatment of advancedbreast cancer. In a phase II trial, 45 patients with metastaticbreast cancer received gemcitabine at 1,200 mg/m2 on days 1 and 8 andpaclitaxel at 175 mg/m2 on day 1 every 21 days. Twenty-seven patients(60.0%) had prior adjuvant therapy. Objective response was observedin 30 patients (objective response rate 66.7%, 95% confidence interval[CI] = 52%â71%), including complete response in 10 (22.2%) and partialresponse in 20 (44.4%). Median duration of response was 18 months(95% CI = 11â26.7 months), median time to tumor progression for theentire population was 11 months (95% CI = 7.1â18.7 months), medianoverall survival was 19 months (95% CI = 17.3â21.7 months), and the1-year survival rate was 69%. Treatment was well tolerated, with grade3/4 toxicities being infrequent. Grade 3/4 leukopenia, neutropenia, andthrombocytopenia were each observed in six patients (13.3%). No patientwas discontinued from the study due to hematologic ornonhematologic toxicity. Thus, the gemcitabine/paclitaxel combinationshows promising activity and tolerability when used as first-line treatmentin advanced disease. The combination recently has been shownto be superior to paclitaxel alone as first-line treatment in anthracyclinepretreatedadvanced disease according to interim results of a phase IIItrial and it should be further evaluated in comparative trials in breastcancer.
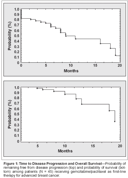
Both gemcitabine (Gemzar) andpaclitaxel exhbit good singleagentactivity in advancedbreast cancer.[1-5] In phase II trialsreported to date, the combination hasproduced good objective responserates as both first-line chemotherapyand in heavily pretreated patients withadvanced disease.[6-9] We report ona phase II trial of gemcitabine/paclitaxel as first-line treatment in patientswith advanced breast cancer.[10]Patients and MethodsTo be eligible for study entry, patientshad to be at least 21 years ofage with Zubrod performance statusof 0 to 2: they had to have histologicallyor cytologically confirmed met-astatic disease, or metastatic plus locallyadvanced breast cancer with bidimensionallymeasurable disease.Prior adjuvant chemotherapy-excludinggemcitabine and taxanes, hormonaltherapy, and radiotherapy-was permitted. Patients had to haveadequate bone marrow, hepatic, andrenal function, as indicated by absoluteneutrophil count > 1,500/μL,platelet count >100,000/μL, serum totalbilirubin < 2.0 mg/dL, alanine/aspartateaminotransferase level < 3times the upper limit of normal, andserum creatinine < 1.5 mg/dL.Study treatment consisted of gemcitabineat 1,200 mg/m2 given as a30-minute intravenous (IV) infusionon days 1 and 8 plus paclitaxel at 175mg/m2 given as a continuous 3-hourIV infusion on day 1 every 21 daysfor a maximum of 8 cycles. Patientsreceived routine antiemetic treatment1 hour before the study treatment infusions.Treatment was discontinuedin the event of unacceptable toxicity,treatment delay longer than 3 weeks,disease progression, or patient refusal.Dose adjustments were made asfollows. On day 8, the gemcitabinedose was reduced by 25% if granulocytecount was between 2.0 and 2.49* 106/L or platelet count was between75 and 99 * 106/L, or reduced by 50%if granulocyte count was between 1.0and 1.99 or platelet count was between50 and 74 * 106/L. For thecycle following any cycle in whichhematologic toxicity occurred, doseswere adjusted by reducing gemcitabineand paclitaxel doses by 25% forgranulocyte counts between 1.0 and1.49 * 106/L or platelet counts between75 and 99 * 106/L, or by 50%for granulocyte counts between 0.5and 0.99 106/L or platelet countsbetween 50 and 74 * 106/L.Depending on clinical judgment,treatment was withheld for granulocytecounts less than 1.0 * 106/Land/or platelet counts less than 50 *106/L. For World Health Organization(WHO) grade 3 nonhematologictoxicity, with the exception of nausea/vomiting and alopecia, doses ofboth gemcitabine and paclitaxel werereduced by 50% or withheld, dependingon clinical judgment. Patients withWHO grade 4 nonhematologic toxicityhad their doses withheld at thediscretion of the investigator.ResultsA total of 45 patients entered thestudy and were evaluable for efficacyand safety. Patient baseline characteristicsare shown in Table 1. Patientshad a median age of 53.5 years. None of the patients had previously receivedchemotherapy for metastatic disease.A total of 60% of patients had receivedprior adjuvant therapy, with12 patients (26.7%) receiving prioranthracycline adjuvant therapy. Allpatients had stage IV disease; 35(77.8%) of patients had visceral disease,with the most common metastaticsites being soft tissue and lungand most patients having one or twometastatic sites.Objective response was observedin 30 of 45 patients, yielding a responserate of 66.7% (95% confidenceinterval [CI] = 52%-71%). Completeresponse was observed in 10 patients(22.2%) and partial response was observedin 20 (44.4%). Seven patients(15.6 %) had stable disease. Eight patients(17.8 %) had progressive disease.Objective response ratesaccording to disease site were as follows:soft tissue, 72%; bone, 50%;lung, 54%; liver, 34%; and other visceralsites, 50%. No significant differencesin response rates were seenbetween patients who were estrogenreceptor positive vs estrogen receptornegative or between those who hadprevious adjuvant chemotherapy (withor without anthracyclines) vs no previousadjuvant chemotherapy. Themedian duration of follow-up was 29months. The median duration of responsewas 18 months (95% CI =11.0-26.7 months). Median time totumor progression for the entire populationwas 11 months (95% CI =7.1-18.7 months). Median overall survivalwas 19 months (95% CI = 17.3-21.7months), and the 1-year survival ratewas 69%. Both tumor progression andsurvival are illustrated in Figure 1.Treatment was well tolerated, withinfrequent grade 3/4 toxicities (Table2). Grade 3/4 leukopenia, neutropenia,and thrombocytopenia were each observedin six patients (13.3%); none ofthe study patients developed grade 3/4anemia and none received platelet transfusions.Among nonhematologic toxicities,severe alopecia, mucositis, anddiarrhea were infrequently observedand grade 3 neuropathy was observedin 1 patient. No patient was discontinuedfrom the study due to toxicity. Notreatment-related deaths occurred.

A total of 260 treatment cycleswere administered, with patients receivinga median of 5.7 cycles (range:2-8). Dose reductions of 25% and50% for both drugs were requiredin 19 (7.3%) and 10 cycles (3.8%),respectively, due to neutropenia.Twenty-three cycles (8.8%) were delayeddue to toxicity, and dose adjustmentswere made in 29 (11.2%). Theplanned weekly dose intensities werepaclitaxel 60 mg/m2 and gemcitabine 800 mg/m2. The mean delivered doseswere paclitaxel 48 mg/m2 and gemcitabine680 mg/m2 per week.

ConclusionThis trial showed the gemcitabine/paclitaxel combination to be highlyactive and well tolerated as first-line treatment in advanced breast cancer.The results achieved are consistentwith those reported by other investigatorsin both chemotherapy-naiveand heavily pretreated patients. Forexample, in a study assessing an every-2-week regimen of gemcitabineat 2,500 mg/m2 on day 1 and paclitaxelat 150 mg/m2 on day 1 as first-linetherapy in 42 patients, 72% of whomhad received adjuvant therapy, Colomerand colleagues found objectiveresponses in 29 patients (69%), includingcomplete response in 10(24%) and partial response in 19 (45%); median duration of responsewas 9 months.[7] Using an every 3-week regimen of gemcitabine at 1,200mg/m2 on days 1 and 8 and paclitaxelat 175 mg/m2 as first-line chemotherapy,Genot and colleagues reportedan objective response in 15 (42%) of36 patients, including complete responsein 2 (6%) and partial responsein 13 (36%); median duration of responsewas 344 days and median timeto progression was 224 days.[9]In a study in heavily pretreatedpatients by Snchez-Rovira et al, gemcitabineat 2,500 mg/m2 on days 1 and15 and paclitaxel at 135 mg/m2 ondays 1 and 15 every 28 days producedresponse in 20 (45%) of 44patients, with 7 (16%) having completeresponse and 13 (30%) havingpartial response; median response durationwas 8 months and median survivalwas 12 months.[6] In anotherstudy in heavily pretreated patients,Murad and colleagues reduced the regimendose from gemcitabine at 1,000mg/m2 on days 1, 8, and 15 and paclitaxelat 175 mg/m2 on day 1 every 28days to a 21-day schedule with gemcitabinegiven on days 1 and 8 andpaclitaxel on day 1 after unacceptabletoxicity in the first 5 patients treatedwith the former regimen.[8] Objectiveresponse was observed in 16(55%) of 29 patients, including completeresponse in 5 (17%) and partialresponse in 11 (38%); median responseduration was 8 months, mediansurvival was 12 months, and 1-and 2-year survival rates were 45%and 30%, respectively. When givenat the doses described above on 21-or 14-day schedules, the combinationhas been very well tolerated.Most recently, O'Shaughnessy andcolleagues have reported interim findingsin a phase III trial showing superiorityof gemcitabine/paclitaxel overpaclitaxel alone in anthracycline-pretreatedpatients with advanced breastcancer using the 21-day schedule.[11]In this trial, patients with metastaticbreast cancer who had prior anthracyclinetreatment and no prior chemotherapyfor metastatic disease wererandomized to receive gemcitabine1,250 mg/m2 by 30-minute infusionon days 1 and 8 plus paclitaxel at 175mg/m2 by 3-hour infusion on day 1every 21 days (n = 267) or paclitaxelalone at 175 mg/m2 on day 1 every 21days (n = 262). Median patient agewas 53 years; more than 70% of patientshad visceral metastases, 75%had at least two sites of metastaticdisease, and one-third had receptorpositivedisease.

The objective response rate in thegemcitabine/paclitaxel group was39.3% (95% CI = 33.5%-45.2%)compared with 25.6% (95% CI =20.3%-30.9%) in the paclitaxel group(P = .0007).On interim analysis, mediantime to disease progression was5.4 months (95% CI = 4.6-6.1months) with gemcitabine/paclitaxel,compared with 3.5 months (95%CI = 2.9-4.0 months) for paclitaxel(P = .0013). The hazard ratio for progressionwith gemcitabine/paclitaxelwas significantly reduced (0.734; 95%CI = 0.607-0.889; P = .0015); theprobability of being progression-freeat 6 months was increased by approximately50% with combined treatment.Progression-free survival was significantlyincreased with gemcitabine/paclitaxel (P = .0021). Effects of thestudy treatments on overall survivalwill be provided in the final reportfrom this trial. Grade 4 hematologictoxicity was more common in thegemcitabine/paclitaxel group than inthe paclitaxel, with neutropenia occurringin 17.2% vs 6.6%, anemia in1.1% vs 0.4%, thrombocytopenia in0.4% vs 0%, and febrile neutropeniain 0.4% vs 0%. Nonhematologic toxicitywas predictable and manageablein both groups.In conclusion, our findings indicatethat the combination of gemcitabineand paclitaxel is associated withimpressive activity and a good safetyprofile when used as first-line chemotherapyon a 21-day schedule in patientswith advanced breast cancer.Similar results have been reported inother phase II studies of this combinationin advanced disease, and interimresults of a phase III trial using the21-day regimen indicate significantlyimproved response rate, time to diseaseprogression, and progression-freesurvival with the combination vs paclitaxel alone in first-line chemotherapy.This promising combination should beassessed in additional comparative trials-eg, vs standard anthracyclinebasedchemotherapy or vs sequentialcombination treatment with doxorubicin,paclitaxel, and gemcitabine.
The author(s) have no significant financial interest or other relationship with the manufacturers of any products or providers of any service mentioned in this article.
1.
 Seidman AD: Monotherapy options in themanagement of metastatic breast cancer. SeminOncol 30(suppl 3):6-10, 2003.
2.
 Heinemann V: Role of gemcitabine in thetreatment of advanced and metastatic breastcancer. Oncology 64:191-206, 2003.
3.
 Seidman AD, Tiersten A, Hudis C, et al:Phase II trial of paclitaxel by 3-hour infusionas initial and salvage chemotherapy for metastaticbreast cancer. J Clin Oncol 13:2575-2581, 1995.
4.
 Reichman BS, Seidman AD, Crown JPA,et al: Paclitaxel and recombinant human granulocytecolony-stimulating factor as initial chemotherapyfor metastatic breast cancer. J ClinOncol 11:1943-1951, 1993.
5.
 Holmes FA, Valero V, Walters RS, et al:The M.D. Anderson Cancer Center experiencewith Taxol in metastatic breast cancer. MonogrNatl Cancer Inst 15:161-169, 1993.
6.
 Sànchez-Rovira P, Medina MB,Mohendano N, et al: Results from a phase IIstudy of gemcitabine in combination withpaclitaxel in metastatic breast cancer (abstract).Ann Oncol 9(suppl 4):A77P, 1998.
7.
 Colomer R, Llombart A, Lluch A, et al:Biweekly paclitaxel and gemcitabine in advancedbreast cancer: Phase II trial and predictivevalue of HER2 extracellular domain (abstract373). Proc Am Soc Clin Oncol 19:97a,2000.
8.
 Murad AM, Guimaraes RC, Aragao BC,et al: Gemcitabine and paclitaxel as salvagetherapy in metastatic breast cancer. Am J ClinOncol 24:264-269, 2001.
9.
 Genot J-Y, Tubiana-Hulin M, Tubiana-Mathiew N, et al: Gemcitabine and paclitaxelin metastatic breast cancer: A phase II study inthe first-line setting (abstract 2002). Proc AmSoc Clin Oncol 21:48b, 2002.
10.
 Delfino C, Riva Gonzales L, MickiewiczE, et al: Gemcitabine plus paclitaxel administeredas first-line chemotherapy for patientswith advanced breast cancer. Oncology (Basel)(in press).
11.
O’Shaughnessy J, Nag S, Calderillo-Ruiz G, et al: Gemcitabine plus paclitaxel (GT)versus paclitaxel (T) as first-line treatment foranthracycline pre-treated metastatic breast cancer(MBC): Interim results of a global phaseIII study (abstract 25). Proc Am Soc Clin Oncol22:7, 2003.
Late Hepatic Recurrence From Granulosa Cell Tumor: A Case Report
Granulosa cell tumors exhibit late recurrence and rare hepatic metastasis, emphasizing the need for lifelong surveillance in affected patients.